logoMenu

加拿大2014预交税指南

2020-09-24 |作者: | 来源:

Loading...

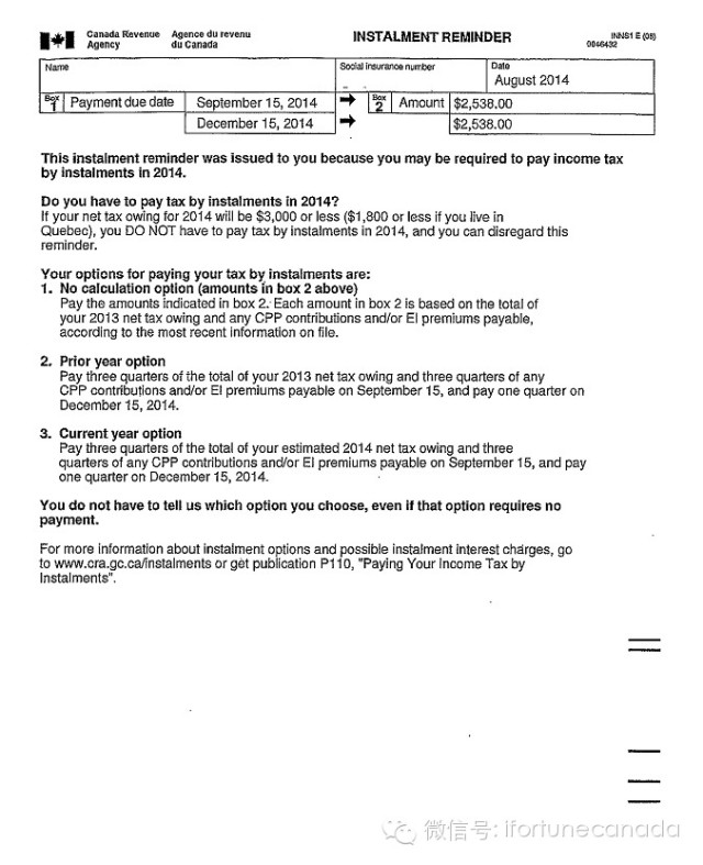
2014年税季已过,绝大多数的报税客户已相继收到加拿大税务局寄回的2013年税报评估通知(NOA),其中也有一些客户最近收到了税务局发出的2014年预缴税金提醒单(Instalment Reminder,见附件1)。关于预交税金提醒单,有许多客户询问为什么会收到该提醒单、哪些人应该缴纳预缴税金和如何缴纳预缴税金等。下面是关于加拿大个人所得税预缴税金的一些基本知识和说明,以期对大家理解有所帮助。
2014年你是否需要缴纳预缴税金取决于两个因素:
2014年预计应缴的净的所得税金额(Estimated Net Tax Owing)
2013年或2012年税报显示的应缴的净的所得税金额(Net Tax Owing)

当你2013年或2012年应缴的净的所得税金额超过$3,000加元(魁北克$1,800加元),同时2014年预计你应缴的净的所得税金额也超过$3,000加元(魁北克$1,800加元)时,你就需要预缴个人所得税。
预缴税金的缴纳通常按四个季度付清,截止日期分别是:3月15日,6月15日,9月15日和12月15日。税务局通常会在每年的2月和8月发出预缴税金提醒单。在2月份发出的提醒单上会显示3月15日和6月15日所需缴纳预缴税金的金额,而8月份发出的提醒单上则会显示9月15日和12月15日应缴预付税金的金额。
加拿大税务局通常会给他们认为可能需要缴纳预缴税金的纳税人发出预缴税金提醒单。提醒单上显示的金额是建议性的。如果你可以肯定你的2014年应缴个人所得税金额不会超过$3,000加元(魁北克$1,800加元),则即使收到预缴税金提醒单,你仍不需要缴纳预缴税金。
在加拿大纳税人缴纳预缴税金有三种选择:
1.无需计算,直接按照收到的预缴税金提醒单上显示的时间和金额按时足额缴纳。

2.如果2014年预计应缴的个人所得税金额和2013年所缴的个人所得税金额相近,则2014年每个季度可以按照2013年税报上显示的应缴所得税金额的四分之一按时缴纳。
3.如果2014年预计应缴的个人所得税金额和2013年所缴的个人所得税金额相差很大,则纳税人也可以预估2014年应缴的个人所得税金额,然后按该金额的四分之一分季度按时缴纳。
一般情况下,我们通常建议客户选择第一种即按照预缴税金提醒单上显示的金额缴纳,这样做既可以省去计算或预估的工作,同时也可以避免由于低估预缴税金所产生的利息和罚金。
税务局发出每份预缴税金提醒单时都会附有两份纳税人支付预缴税金时可能会使用的付款凭证单(Instalment Remittance Voucher,见附件2)。预缴税金的支付可以通过电子方式即网上或电话银行等,也可以选择用支票或到银行等金融机构支付。
附件1:


附件2:

本文发布于: 2014-8-26 22:51
Fungo Ads

阅读

未经允许不得转载:加拿大乐活网 »加拿大2014预交税指南
分享:

相关推荐